服務熱線: 400-688-8218
學術交流
學術交流
呂農華教授團隊發現:思連康可改善幽門螺桿菌根除治療患者的唾液、胃腸道菌群環境,減少不良反應發生

研究結果顯示,思連康雙歧桿菌四聯活菌片可改善幽門螺桿菌根除治療患者的唾液、胃腸道菌群環境,減少不良反應發生。 幽門螺桿菌,全球感染傳播最廣泛的細菌之一,在全球人口中約有50%的患病率[2]。感染幽門螺桿菌可能導致慢性胃炎,并增加消化性潰瘍、胃癌和黏膜相關淋巴組織淋巴瘤的患病風險。截至目前,含鉍劑的四聯療法已成為國際范圍內認可的幽門螺桿菌治療一線用藥方案[3],然而進一步研究發現,四聯藥物的使用,會導致患者胃腸道不良反應及腸道菌群的短期紊亂[4, 5]。 已有研究證實,聯合益生菌可減輕鉍劑四聯藥物所引起的胃腸道不良反應[6, 7],并有助于鉍劑四聯藥物治療后胃、腸道菌群中有益菌譜的重構[8]。因此,探討思連康雙歧桿菌四聯活菌片對于幽門螺桿菌根除后患者胃腸道菌群的影響具有深遠意義,值得關注。

南昌大學第一附屬醫院呂農華教授牽頭,包括西安市中心醫院、山西醫科大學第一附屬醫院、鄭州大學第五附屬醫院、云南省第一人民醫院、南京醫科大學附屬南京醫院及浙江中醫藥大學第一附屬醫院在內的全國七家三甲醫院共同開展了一項為期兩年八個月的多中心、隨機、雙盲、安慰劑對照研究,并在2022年11月Frontiers in Immunology(IF:8.786)發表了題為”Probiotics modulate gastrintestinal microbiota after Helicobacter pylori eradication:A multicenter randomized double-blind placebo-controlled trial”的研究論文。旨在進一步明確思連康雙歧桿菌四聯活菌片聯合14天含鉍劑四聯療法根除幽門螺桿菌的療效和安全性,以及對胃腸道菌群變化的影響。
研究納入診斷為慢性胃炎且幽門螺桿菌檢測呈陽性的成年患者(18-65歲)。以1∶1的比例將符合條件的患者隨機分配至雙歧桿菌四聯活菌片組或安慰劑組。兩組患者均接受14天含鉍劑四聯療法(埃索美拉唑 20 mg 、阿莫西林1000 mg 、呋喃唑酮 100 mg 、枸櫞酸鉍鉀 220 mg ,早晚各給藥),同時聯合雙歧桿菌四聯活菌片(思連康,杭州遠大生物制藥有限公司,中國杭州)或安慰劑(9片/次,中午頓服),療程4周。并于基線篩查(T1)、14天根除治療結束時(T2)、雙歧桿菌四聯活菌片/安慰劑治療結束時(T3)、根除后8周(T4)和根除后24周(T5)的5次訪視時進行評估。
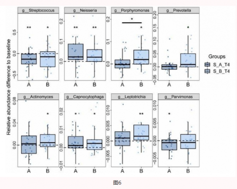
結果顯示: 思連康雙歧桿菌四聯活菌片組胃腸道不良反應發生率低于安慰劑組(23.6% vs 37.7%,p =0.016)。除此之外,在根除后,腸道菌群結構發生了劇烈的變化,變形菌門取代了共生厚壁菌門和擬桿菌門,并在兩周后逐漸恢復。補充思連康雙歧桿菌四聯活菌片可中和根除藥物所帶來的腸道擬桿菌門的減少,使胃菌群的波動更加平穩,抑制口腔致病菌的生長。 01思連康減少Hp根除后不良反應 與安慰劑組相比,雙歧桿菌四聯活菌片組胃腸道不良反應的總體發生率顯著降低(23.62% vs 37.7%,p =0.016),且安慰劑組惡心嘔吐發生率高于雙歧桿菌四聯活菌片組(24.59% vs 13.39% ,p =0.024)(圖1)。 02思連康緩解Hp根除后的腸道菌群紊亂 03思連康可使Hp根除后胃菌群波動減小 04思連康可抑制Hp根除后口腔致病菌生長 越來越多的證據提示,根除幽門螺桿菌感染的鉍劑四聯療法會導致腸道菌群穩態的短期受損。《第六次全國幽門螺桿菌感染處理共識報告》明確指出,根除治療可改變腸道微生物種群的多樣性和結構。 本次研究顯示: 頓服思連康雙歧桿菌四聯活菌片,可降低胃腸道不良反應的發生率。 根除幽門螺桿菌后,唾液、胃和腸道的微生物菌群組成發生顯著變化,停用抗生素兩周后腸道菌群恢復到基線水平。通過頓服思連康雙歧桿菌四聯活菌片治療,可使微生物菌群的紊亂得到緩解(圖7)。這為幽門螺桿菌治療方案的進一步優化以及副作用的減輕提供了新的臨床應用方向和思路。 [1] YUAN Z, XIAO S, LI S, et al. The impact of Helicobacter pylori infection, eradication therapy, and probiotics intervention on gastric microbiota in young adults [J]. Helicobacter, 2021, 26(6): e12848. [2] SALAMA N R, HARTUNG M L, MüLLER A. Life in the human stomach: persistence strategies of the bacterial pathogen Helicobacter pylori [J]. Nature reviews Microbiology, 2013, 11(6): 385-99. [3] BANG C S, LIM H, JEONG H M, et al. Amoxicillin or tetracycline in bismuth-containing quadruple therapy as first-line treatment for Helicobacter pylori infection [J]. Gut microbes, 2020, 11(5): 1314-23. [4] YE Q, SHAO X, SHEN R, et al. Changes in the human gut microbiota composition caused by Helicobacter pylori eradication therapy: A systematic review and meta-analysis [J]. Helicobacter, 2020, 25(4): e12713. [5] CHEN C C, LIOU J M, LEE Y C, et al. The interplay between Helicobacter pylori and gastrointestinal microbiota [J]. Gut microbes, 2021, 13(1): 1-22. [6] ZHAO Y, YANG Y, ARUNA, et al. Saccharomyces boulardii Combined With Quadruple Therapy for Helicobacter pylori Eradication Decreased the Duration and Severity of Diarrhea: A Multi-Center Prospective Randomized Controlled Trial [J]. Frontiers in medicine, 2021, 8: 776955. [7] PLOMER M, III PEREZ M, GREIFENBERG D M. Effect of Bacillus clausii Capsules in Reducing Adverse Effects Associated with Helicobacter pylori Eradication Therapy: A Randomized, Double-Blind, Controlled Trial [J]. Infectious diseases and therapy, 2020, 9(4): 867-78. [8] YANG C, LIANG L, LV P, et al. Effects of non-viable Lactobacillus reuteri combining with 14-day standard triple therapy on Helicobacter pylori eradication: A randomized double-blind placebo-controlled trial [J]. Helicobacter, 2021, 26(6): e12856. [9]《第六次全國幽門螺桿菌感染處理共識報告》






掃二維碼用手機看
新聞動態

公眾號二維碼


Copyright ? 2025 杭州遠大生物制藥有限公司 版權所有 浙ICP備09055220號-1 互聯網藥品信息服務資格證書(浙)-非經營性-2020-0037 Xinnet technical support




